基于2001年MW7.8可可西里地震震后形变模拟研究藏北地区岩石圈流变学结构

贺鹏超, 王敏, 王琪, 沈正康. 2018. 基于2001年MW7.8可可西里地震震后形变模拟研究藏北地区岩石圈流变学结构. 地球物理学报, 61(2): 531-544, doi: 10.6038/cjg2018L0189
引用本文: 贺鹏超, 王敏, 王琪, 沈正康. 2018. 基于2001年MW7.8可可西里地震震后形变模拟研究藏北地区岩石圈流变学结构. 地球物理学报, 61(2): 531-544, doi: 10.6038/cjg2018L0189
HE PengChao, WANG Min, WANG Qi, SHEN ZhengKang. 2018. Rheological structure of lithosphere in northern Tibet inferred from postseismic deformation modeling of the 2001 MW7.8 Kokoxili earthquake. Chinese Journal of Geophysics (in Chinese), 61(2): 531-544, doi: 10.6038/cjg2018L0189
Citation: HE PengChao, WANG Min, WANG Qi, SHEN ZhengKang. 2018. Rheological structure of lithosphere in northern Tibet inferred from postseismic deformation modeling of the 2001 MW7.8 Kokoxili earthquake. Chinese Journal of Geophysics (in Chinese), 61(2): 531-544, doi: 10.6038/cjg2018L0189

基于2001年MW7.8可可西里地震震后形变模拟研究藏北地区岩石圈流变学结构

  • 基金项目:

    国家自然科学基金项目(40334042和41474028)资助

详细信息
    作者简介:

    贺鹏超, 男, 1989年生, 2011年获北京大学学士学位, 在读博士研究生.E-mail:hepengchaoslg@pku.edu.cn

    通讯作者: 王敏, 女, 1964年生, 研究员, 主要从事GPS数据分析与地壳形变模拟研究.E-mail:wangmin@ies.ac.cn
  • 中图分类号: P228;P315

Rheological structure of lithosphere in northern Tibet inferred from postseismic deformation modeling of the 2001 MW7.8 Kokoxili earthquake

More Information
  • 青藏高原岩石圈的流变学结构和形变机制是地学界长期争论的重大科学问题.2001年发生在东昆仑断裂带的MW7.8可可西里地震造成青藏高原北部地区岩石圈构造应力场的很大改变,引起下地壳与上地幔的快速弛豫形变,从而为研究这一问题提供了难得的机会.本研究采用该区域的GPS震后观测,反演这一地区岩石圈的流变学参数并探讨其形变机制.反演所采用的数据来自45个GPS观测点,其中包括一个中国地壳运动观测网络的基准站,数据最长时间跨度达6.4年.大地震震后形变场主要来源于地壳、上地幔的黏弹性松弛与断层面上的震后余滑,因此本研究同时反演介质的黏滞系数和断层的震后余滑.考虑到东昆仑断层南侧的巴颜喀拉-羌塘地区与北侧的柴达木盆地地区具有明显不同的地壳结构,断层南北两侧采用不同的Burgers体流变学结构,其下地壳-上地幔的短期和长期黏滞系数采用网格搜索法获得;断层震后余滑反演则同时施加近似正比于库仑应力的约束.最终结果显示:东昆仑断层北侧柴达木盆地地区下地壳-上地幔短期和长期黏滞系数分别为5×1018 Pa·s和1.5×1020 Pa·s;东昆仑断层南侧巴颜喀拉-羌塘地区下地壳-上地幔短期和长期黏滞系数分别为1.5×1018 Pa·s和1.5×1019 Pa·s.这一结果表明:巴颜喀拉-羌塘地区下地壳-上地幔黏滞系数显著低于柴达木盆地,意味着巴颜喀拉-羌塘地区下地壳可能存在部分熔融,其地壳形变模式更趋近于连续形变,而柴达木盆地形变模式更趋近于块体运动.研究区下地壳长期黏滞系数比下地壳流模型所主张的黏滞系数高2~3个数量级,表明下地壳流在本地区可能不存在.

  • 加载中
  • 图 7 

    GPS观测点位分布与震后1年地表位移拟合

    Figure 7. 

    Distribution of GPS sites and data fitting of first year observed and predicted postseismic displacements

    图 1 

    青藏高原北部区域构造、地震活动和GPS震间水平运动速度场

    Figure 1. 

    Regional tectonics, earthquakes and GPS derived interseismic horizontal velocity field in northern Tibetan Plateau

    图 2 

    可可西里地震的同震破裂模型(万永革等,2008)

    Figure 2. 

    Coseismic rupture model of the Kokoxili earthquake (Wan et al., 2008)

    图 4 

    (a) 同震库仑应力变化;(b)同震库仑应力变化与震间累积应力之和

    Figure 4. 

    Coseismic Coulomb stress change (a) and sum of Coulomb stress change and interseismic accumulated stress (b)

    图 3 

    研究区域介质结构示意图

    Figure 3. 

    Sketch of medium structure in the study area

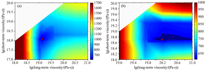
    图 5 

    数据残差随黏滞系数变化的分布图

    Figure 5. 

    Data residual chi-square distribution with respect to viscosity parameter realizations

    图 6 

    震后余滑分布(a)和分辨率(b)

    Figure 6. 

    Inverted afterslip distribution (a) and resolution (b)

    图 8 

    GPS观测点震后位移时间序列(相对于第一个观测时刻)

    Figure 8. 

    Postseismic displacement time series of GPS sites(relative to the first observation time)

    表 1 

    基于可可西里地震震后形变的区域流变学参数估计

    Table 1. 

    Viscosity estimates of northern Tibet based on postseismic deformation of the Kokoxili earthquake

    模型 震后机制 黏滞系数(Pa·s) 备注(模型设置与数据)
    断层北侧 断层南侧
    Zhang et al., 2007 黏弹性松弛 η1=2×1017 黏弹性层20 km以下;4个GPS连续站震后1年数据
    Diao et al., 2011 黏弹性松弛 η1=(5~6)×1017 黏弹性层32 km以下;沿青藏公路GPS流动站震后4个月数据
    震后余滑+黏弹性松弛 η1=1×1018
    Ryder et al., 2011 黏弹性松弛 η2= 9×1017
    η1=1×1019
    黏弹性层16 km以下;沿青藏公路GPS流动站震后1年数据和震后2~5年InSAR数据
    Wen et al., 2012 黏弹性松弛 η1=(2~5)×1019 黏弹性层深度15 km以下;震后2~6年InSAR数据
    本研究模型A 震后余滑+黏弹性松弛 η2=5×1018
    η1=1.5×1020
    η2=1.5×1018
    η1=1.5×1019
    忽略介质分界面,断层北侧的介质分层和弹性参数都与南侧一致,黏弹性层20 km以下
    本研究模型B 震后余滑+黏弹性松弛 η2=1×1018
    η1=4×1019
    同上
    本研究模型C 震后余滑+黏弹性松弛 η2= 5×1018
    η1=1.5×1020
    η2=1.5×1018
    η1=1.5×1019
    同时顾及断层两侧弹性介质的横向差异,但将断层视为介质分界,黏弹性层20 km以下
    下载: 导出CSV
  •  

    Avouac J P, Tapponnier P. 1993. Kinematic model of active deformation in central Asia. Geophysical Research Letters, 20(10):895-898. doi: 10.1029/93GL00128

     

    Bürgmann R, Dresen G. 2008. Rheology of the lower crust and upper mantle:Evidence from rock mechanics, geodesy, and field observations. Annual Review of Earth and Planetary Sciences, 36(1):531-567. doi: 10.1146/annurev.earth.36.031207.124326

     

    Clark M K, Bush J W M, Royden L H. 2005. Dynamic topography produced by lower crustal flow against rheological strength heterogeneities bordering the Tibetan Plateau. Geophysical Journal International, 162(2):575-590. doi: 10.1111/gji.2005.162.issue-2

     

    Diao F Q, Xiong X, Wang R J. 2011. Mechanisms of transient postseismic deformation following the 2001 MW7.8 Kunlun (China) earthquake. Pure and Applied Geophysics, 168(5):767-779, doi:10.1007/s00024-010-0154-5.

     

    England P, Molnar P. 1997. Active deformation of Asia:From kinematics to dynamics. Science, 278(5338):647-650. doi: 10.1126/science.278.5338.647

     

    Freed A M, Bürgmann R, Calais E, et al. 2006. Implications of deformation following the 2002 Denali, Alaska, earthquake for postseismic relaxation processes and lithospheric rheology. Journal of Geophysical Research:Solid Earth, 111(B1):B01401, doi:10.1029/2005JB003894.

     

    Ge W P, Molnar P, Shen Z K, et al. 2015. Present-day crustal thinning in the southern and northern Tibetan Plateau revealed by GPS measurements. Geophysical Research Letters, 42(13):5227-5235, doi:10.1002/2015GL064347.

     

    Jackson D D, Matsu'ura M. 1985. A Bayesian approach to nonlinear inversion. Journal of Geophysical Research:Solid Earth, 90(B1):581-591. doi: 10.1029/JB090iB01p00581

     

    Johnson K M, Bürgmann R, Freymueller J T. 2009. Coupled afterslip and viscoelastic flow following the 2002 Denali fault, Alaska earthquake. Geophysical Journal International, 176(3):670-682. doi: 10.1111/gji.2009.176.issue-3

     

    Karplus M S, Zhao W, Klemperer S L, et al. 2011. Injection of Tibetan crust beneath the south Qaidam Basin:evidence from INDEPTH Ⅳ wide-angle seismic data. Journal of Geophysical Research:Solid Earth, 116(B7):B07301, doi:10.1029/2010JB007911.

     

    Kirby S H, Kronenberg A K. 1987. Rheology of the lithosphere:Selected topics. Reviews of Geophysics, 25(6):1219-1244. doi: 10.1029/RG025i006p01219

     

    Klinger Y, Xu X W, Tapponnier P, et al. 2005. High resolution satellite imagery mapping of the surface rupture and slip distribution of the MW~7.8, 14 November 2001 Kokoxili earthquake, Kunlun fault, northern Tibet, China. Bulletin of the Seismological Society of America, 95(5):1970-1987. doi: 10.1785/0120040233

     

    Lasserre C, Peltzer F, Crampé F, et al. 2005. Coseismic deformation of the 2001 MW7.8 Kokoxili earthquake in Tibet, measured by synthetic aperture radar interferometry. Journal of Geophysical Research:Solid Earth, 110(B12):doi:10.1029/2004JB003500.

     

    Li Y H, Wu Q J, Zhang F X, et al. 2011. Seismic anisotropy of the northeastern Tibetan Plateau from shear wave splitting analysis. Earth and Planetary Science Letters, 304:147-157. doi: 10.1016/j.epsl.2011.01.026

     

    Lin A M, Fu B H, Guo J M, et al. 2002. Co-seismic strike slip and rupture length produced by the 2001 MS8.1 Central Kunlun Earthquake. Science, 296(5575):2015-2017. http://kagakusha.aaas.org/article/11287

     

    McNamara D E, Owens T J, Silver P G, et al. 1994. Shear wave anisotropy beneath the Tibetan Plateau. Journal of Geophysical Research, 99(B7):13655-13665. doi: 10.1029/93JB03406

     

    Mechie J, Zhao W, Karplus M S, et al. 2012. Crustal shear(S) velocity and Poisson's ratio structure along the INDEPTH Ⅳ profile in northeast Tibet as derived from wide-angle seismic data. Geophysical Journal International, 191(2):369-384, doi:10.1111/j.1365-246X.2012.05616.x.

     

    Ren J W, Wang M. 2005. GPS measured crustal deformation of the MS8.1 earthquake on November 14th 2001 in Qinghai-Xizang plateau. Quaternary Sciences (in Chinese), 25(1):34-44. https://www.sciencedirect.com/science/article/pii/S1367912012000442

     

    Rousset B, Barbot S, Avouac J P, et al. 2012. Postseismic deformation following the 1999 Chi-Chi earthquake, Taiwan:Implication for lower-crust rheology. Journal of Geophysical Research, 117(B12):B12405, doi:10.1029/2012JB009571.

     

    Royden L H, Burchfiel B C, van der Hilst R D. 2008. The geological evolution of the Tibetan Plateau. Science, 321(5892):1054-1058, doi:10.1126/science.1155371.

     

    Ryder I, Bürgmann R, Pollitz F. 2011. Lower crustal relaxation beneath the Tibetan Plateau and Qaidam Basin following the 2001 Kokoxili earthquake. Geophysical Journal International, 187(2):613-630, doi:10.1111/j.1365-246X.2011.05179.x.

     

    Savage J C. 1990. Equivalent strike-slip earthquake cycles in half-space and lithosphere-asthenosphere earth models. Journal of Geophysical Research:Solid Earth, 95(B4):4873-4879, doi:10.1029/JB095iB04p04873.

     

    Scholz C H. 1998. Earthquakes and friction laws. Nature, 391(6662):34097.

     

    Shen F, Royden L H, Burchfiel B C. 2001. Large-scale crustal deformation of the Tibetan Plateau. Journal of Geophysical Research:Solid Earth, 106(B4):6793-6816, doi:10.1029/2000JB900389.

     

    Shen Z K, Ge X B, Jackson D D, et al. 1996. Northridge earthquake rupture models based on the global Positioning System measurements. Bulletin of the Seismological Society of America, 86(1B):S37-S48. http://www.mendeley.com/research/northridge-earthquake-rupture-models-based-global-positioning-system-measurements/

     

    Shen Z K, Wang M, Gan W J et al. 2003. Contemporary tectonic strain rate field of Chinese continent and its geodynamic implications. Earth Science Frontiers (in Chinese), 10(S1):90-100. http://en.cnki.com.cn/Article_en/CJFDTOTAL-DXQY2003S1014.htm

     

    Shen Z K, Wang M, Zeng Y H, et al. 2015. Optimal interpolation of spatially discretized geodetic data. Bulletin of the Seismological Society of America, 105(4):2117-2127, doi:10.1785/0120140247.

     

    Sun X, Song X, Zheng S, et al. 2010. Three dimensional shear velocity structure of the crust and upper mantle beneath China from ambient noise surface wave tomography. Earthquake Science, 23(5):449-463, doi:10.1007/s11589-010-0744-4.

     

    Tao W, Shen Z K, Wan Y G, et al. 2007. Crustal elasticity contrast across the East Kunlun fault in northern Tibet, inferred from InSAR measurements of the 2001 MW7.8 Kokoxili earthquake. Chinese Journal of Geophysics (in Chinese), 50(3):744-751. http://en.cnki.com.cn/Article_en/CJFDTOTAL-DQWX200703012.htm

     

    Tapponnier P, Peltzer G, Le Dain A Y, et al. 1982. Propagating extrusion tectonics in Asia:New insights from simple experiments with plasticine. Geology, 10(12):611-616. doi: 10.1130/0091-7613(1982)10<611:PETIAN>2.0.CO;2

     

    Tapponnier P, Xu Z Q, Roger F, et al. 2001. Oblique stepwise rise and growth of the Tibet Plateau. Science, 294(5547):1671-1677. doi: 10.1126/science.105978

     

    Unsworth M, Wei W B, Jones A G, et al. 2004. Crustal and upper mantle structure of northern Tibet imaged with magnetotelluric data. Journal of Geophysical Research:Solid Earth, 109(B2):B02403, doi:10.1029/2002JB002305.

     

    Wan Y G, Shen Z K, Wang M, et al. 2008. Coseismic slip distribution of the 2001 Kunlun mountain pass west earthquake constrained using GPS and InSAR data. Chinese Journal of Geophysics (in Chinese), 51(4):1074-1084. http://www.oalib.com/paper/1570016

     

    Wang M, Shen Z K, Niu Z J, et al. 2003. Contemporary crustal deformation of the Chinese Continent and tectonic block model. Science in China (Series D), 46(Suppl.):25-40. https://link.springer.com/article/10.1360/03dz0003

     

    Wang R J, Lorenzo-Martín F, Roth F. 2006. PSGRN/PSCMP-a new code for calculating co-and post-seismic deformation, geoid and gravity changes based on the viscoelastic-gravitational dislocation theory. Computers & Geosciences, 32(4):527-541. https://link.springer.com/article/10.1007/s11589-013-0001-8

     

    Wei S Q, Chen Y S, Sandvol E, et al. 2010. Regional earthquakes in northern Tibetan Plateau:Implications for lithospheric strength in Tibet. Geophysical Research Letters, 37, L19307, doi:10.1029/2010GL044800.

     

    Wen Y M, Li Z H, Xu C J, et al. 2012. Postseismic motion after the 2001 MW7.8 Kokoxili earthquake in Tibet observed by InSAR time series. Journal of Geophysical Research, 117(B8):B08405, doi:10.1029/2011JB009043.

     

    Xu X W, Chen W B, Ma W T, et al. 2002. Surface rupture of the Kunlunshan earthquake (MS8.1), northern Tibetan Plateau, China. Seismological Research Letters, 73(6):884-892. https://pubs.geoscienceworld.org/ssa/srl/article-abstract/73/6/884/142824/surface-rupture-of-the-kunlunshan-earthquake-ms-8

     

    Zhang C J, Shi Y L, Ma L, et al. 2007. A rheological model of post-seismic deformation for the 2001 Kunlun, China earthquake, MW7.8. Geofísica Internacional, 46(3):145-154. http://manu39.magtech.com.cn/Geophy/CN/10.6038/cjg2018L0189

     

    Zhang P Z, Shen Z K, Wang M, et al. 2004. Continuous deformation of the Tibetan plateau from global positioning system data. Geology, 32(9):809-812. doi: 10.1130/G20554.1

     

    任金卫, 王敏. 2005. GPS观测的2001年昆仑山口西Ms8.1级地震地壳变形.第四纪研究, 25(1):34-44. http://d.old.wanfangdata.com.cn/Periodical/dsjyj200501006

     

    沈正康, 王敏, 甘卫军等. 2003.中国大陆现今构造应变率场及其动力学成因研究.地学前缘, 10(S1):93-100. http://www.docin.com/p-14777514.html

     

    陶玮, 沈正康, 万永革等. 2007.根据2001年Mw7.8可可西里强震InSAR同震测量结果反演东昆仑断裂两侧地壳弹性介质差异.地球物理学报, 50(3):744-751. http://www.dlyj.ac.cn/CN/10.11821/yj2009060023

     

    万永革, 沈正康, 王敏等. 2008.根据GPS和InSAR数据反演2001年昆仑山口西地震同震破裂分布.地球物理学报, 51(4):1074-1084. http://manu39.magtech.com.cn/Geophy/CN/abstract/abstract362.shtml

     

    王敏, 沈正康, 牛之俊等. 2003.现今中国大陆地壳运动与活动块体模型.中国科学(D辑), 33(S1):21-32. http://www.docin.com/p-1221258211.html

  • 加载中

(8)

(1)

计量
  • 文章访问数: 
  • PDF下载数: 
  • 施引文献:  0
出版历程
收稿日期:  2017-05-11
修回日期:  2017-06-04
上线日期:  2018-02-05

目录